Time Series Analysis (TSA) in Python - Linear Models to GARCH
If you’re interested in automating your strategy or process using AWS Cloud click here.
Post Outline
Motivation
The Basics
Serial Correlation (Autocorrelation)
Why do we care about Serial Correlation?
Autoregressive Integrated Moving Average Models - ARIMA(p, d, q)
Autoregressive Conditionally Heterskedastic Models - ARCH(p)
Generalized Autoregressive Conditionally Heterskedastic Models - GARCH(p, q)
Motivation
Early in my quant finance journey, I learned various time series analysis techniques and how to use them but I failed to develop a deeper understanding of how the pieces fit together. I struggled to see the bigger picture of why we use certain models vs others, or how these models build on each other's weaknesses. The underlying purpose for employing these techniques eluded me for too long. That is, until I came to understand this:
Time series analysis attempts to understand the past and predict the future - Michael Halls Moore Quantstart.com
By developing our time series analysis (TSA) skillset we are better able to understand what has already happened, and make better, more profitable, predictions of the future. Example applications include predicting future asset returns, future correlations/covariances, and future volatility.
This post is inspired by the great work Michael Halls Moore has done on his blog, Quantstart, especially his series on TSA. I thought translating some of his work to Python could help others who are less familiar with R. I have also adapted code from other bloggers as well. See References.
This article is a living document. I will update it with corrections as needed and more useful information as time passes.
Before we begin let's import our Python libraries.
Let's use the pandas_datareader package to grab some sample data using the Yahoo Finance API.
The Basics
What is a Time Series?
Wikipedia
Here I use an infogrpahic found on SeanAbu.com. I find the pictures very intuitive.

Seanabu.com
So what? Why do we care about stationarity?
- A stationary time series (TS) is simple to predict as we can assume that future statistical properties are the same or proportional to current statistical properties.
- Most of the models we use in TSA assume covariance-stationarity (#3 above). This means the descriptive statistics these models predict e.g. means, variances, and correlations, are only reliable if the TS is stationary and invalid otherwise.
"For example, if the series is consistently increasing over time, the sample mean and variance will grow with the size of the sample, and they will always underestimate the mean and variance in future periods. And if the mean and variance of a series are not well-defined, then neither are its correlations with other variables." http://people.duke.edu/~rnau/411diff.htm
With that said, most TS we encounter in finance is NOT stationary. Therefore a large part of TSA involves identifying if the series we want to predict is stationary, and if it is not we must find ways to transform it such that it is stationary. (More on that later)
Serial Correlation (Autocorrelation)
Essentially when we model a time series we decompose the series into three components: trend, seasonal/cyclical, and random. The random component is called the residual or error. It is simply the difference between our predicted value(s) and the observed value(s). Serial correlation is when the residuals (errors) of our TS models are correlated with each other.
Why Do We Care about Serial Correlation?
We care about serial correlation because it is critical for the validity of our model predictions, and is intrinsically related to stationarity. Recall that the residuals (errors) of a stationary TS are serially uncorrelated by definition! If we fail to account for this in our models the standard errors of our coefficients are underestimated, inflating the size of our T-statistics. The result is too many Type-1 errors, where we reject our null hypothesis even when it is True! In layman's terms, ignoring autocorrelation means our model predictions will be bunk, and we're likely to draw incorrect conclusions about the impact of the independent variables in our model.
White noise is the first Time Series Model (TSM) we need to understand. By definition a time series that is a white noise process has serially UNcorrelated errors and the expected mean of those errors is equal to zero. Another description for serially uncorrelated errors is, independent and identically distributed (i.i.d.). This is important because, if our TSM is appropriate and successful at capturing the underlying process, the residuals of our model will be i.i.d. and resemble a white noise process. Therefore part of TSA is literally trying to fit a model to the time series such that the residual series is indistinguishable from white noise.
Let's simulate a white noise process and view it. Below I introduce a convenience function for plotting the time series and analyzing the serial correlation visually. This code was adapted from the blog Seanabu.com
We can model a white noise process easily and output the TS plot for visual inspection.

guassian white noise
We can see that process appears to be random and centered about zero. The autocorrelation (ACF) and partial autocorrelation (PACF) plots also indicate no significant serial correlation. Keep in mind we should see approximately 5% significance in the autocorrelation plots due to pure chance as a result of sampling from the Normal distribution. Below that we can see the QQ and Probability Plots, which compares the distribution of our data with another theoretical distribution. In this case, that theoretical distribution is the standard normal distribution. Clearly our data is distributed randomly, and appears to follow Gaussian (Normal) white noise, as it should.
A Random Walk is defined below:
![- Michael halls moore [quantsart.com]](https://images.squarespace-cdn.com/content/v1/53ac905ee4b003339a856a1d/1478028454422-Z341U1S0EGIOVQ5VQINM/image-asset.png?format=original)
- Michael halls moore [quantsart.com]
The significance of a random walk is that it is non-stationary because the covariance between observations is time-dependent. If the TS we are modeling is a random walk it is unpredictable.
Let's simulate a random walk using the "numpy.random.normal(size=our_sample_size)" function to sample from the standard normal distribution.

Random walk without a drift
Clearly our TS is not stationary. Let's find out if the random walk model is a good fit for our simulated data. Recall that a random walk is xt = xt-1 + wt. Using algebra we can say that xt - xt-1 = wt. Thus the first differences of our random walk series should equal a white noise process! We can use the "np.diff()" function on our TS and see if this holds.

first difference of a random walk series
Our definition holds as this looks exactly like a white noise process. What if we fit a random walk to the first difference of SPY's prices?

fitting a random walk model to SPY ETF prices
Wow, it's quite similar to white noise. However, notice the shape of the QQ and Probability plots. This indicates that the process is close to normality but with 'heavy tails'. There also appears to be some significant serial correlation in the ACF, and PACF plots around lags 1, 5?, 16?, 18 and 21. This means that there should be better models to describe the actual price change process.
Linear models aka trend models represent a TS that can be graphed using a straight line. The basic equation is:

In this model the value of the dependent variable is determined by the beta coefficients and a singular independent variable, time. An example could be a company's sales that increase by the same amount at each time step. Let's look at a contrived example below. In this simulation we assume Firm ABC sales regardless of time are -$50.00 (beta 0 or the intercept term) and +$25.00 (beta 1) at every time step.

Linear trend model simulation
Here we can see that the residuals of the model are correlated and linearly decreasing as a function of the lag. The distribution is approximately normal. Before using this model to make predictions we would have to account for and remove the obvious autocorrelation present in the series. The significance of the PACF at lag 1 indicates that an autoregressive model may be appropriate.
These models are similar to linear models except that the data points form an exponential function that represent a constant rate of change with respect to each time step. For example, firm ABC's sales increasing X% at each time step. When plotting the simulated sales data you get a curve that looks like this:

simulated exponential function
We can then transform the data by taking the natural logarithm of sales. Now a linear regression is a much better fit to the data.

Natural logarithm of exponential function
These models have a fatal weakness as discussed previously. They assume serially UNcorrelated errors, which as we have seen in the linear model example is not true. In real life, TS data usually violates our stationary assumptions which motivates our progression to autoregressive models.
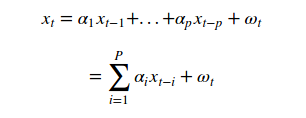
When the dependent variable is regressed against one or more lagged values of itself the model is called autoregressive. The formula looks like this:

AR(p) model formula
When you describe the "order" of the model, as in, an AR model of order "p", the p represents the number of lagged variables used within the model. For example an AR(2) model or second-order autoregressive model looks like this:

AR(2) model formula
Here, alpha (a) is the coefficient, and omega (w) is a white noise term. Alpha cannot equal zero in an AR model. Note that an AR(1) model with alpha set equal to 1 is a random walk and therefore not stationary.

AR(1) model with alpha = 1; random walk
Let's simulate an AR(1) model with alpha set equal to 0.6

AR(1) Model with alpha = 0.6
As expected the distribution of our simulated AR(1) model is normal. There is significant serial correlation between lagged values especially at lag 1 as evidenced by the PACF plot.
Now we can fit an AR(p) model using Python's statsmodels. First we fit the AR model to our simulated data and return the estimated alpha coefficient. Then we use the statsmodels function "select_order()" to see if the fitted model will select the correct lag. If the AR model is correct the estimated alpha coefficient will be close to our true alpha of 0.6 and the selected order will equal 1.

Looks like we were able to recover the underlying parameters of our simulated data. Let's simulate an AR(2) process with alpha_1 = 0.666 and alpha_2 = -0.333. For this we make use of statsmodel's "arma_generate_samples()" function. This function allows us to simulate an AR model of arbitrary orders. Note that there are some peculiarities of Python's version which requires us to take some extra steps before using the function.

AR(2) simulation with alpha_1 = 0.666 and alpha_2 = -0.333
Let's see if we can recover the correct parameters.
Not bad. Let's see how the AR(p) model will fit MSFT log returns. Here is the return TS.

MSFT log returns time series
The best order is 23 lags or 23 parameters! Any model with this many parameters is unlikely to be useful in practice. Clearly there is more complexity underlying the returns process than this model can explain.
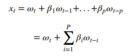
MA(q) models are very similar to AR(p) models. The difference is that the MA(q) model is a linear combination of past white noise error terms as opposed to a linear combo of past observations like the AR(p) model. The motivation for the MA model is that we can observe "shocks" in the error process directly by fitting a model to the error terms. In an AR(p) model these shocks are observed indirectly by using the ACF on the series of past observations. The formula for an MA(q) model is:

Omega (w) is white noise with E(wt) = 0 and variance of sigma squared. Let's simulate this process using beta=0.6 and specifying the AR(p) alpha equal to 0.

Simulated ma(1) process with beta=0.6
The ACF function shows that lag 1 is significant which indicates that a MA(1) model may be appropriate for our simulated series. I'm not sure how to interpret the PACF showing significance at lags 2, 3, and 4 when the ACF only shows significance at lag 1. Regardless we can now attempt to fit a MA(1) model to our simulated data. We can use the same statsmodels "ARMA()" function specifying our chosen orders. We call on its "fit()" method to return the model output.

MA(1) model summary
The model was able to correctly estimate the lag coefficent as 0.58 is close to our true value of 0.6. Also notice that our 95% confidence interval does contain the true value. Let's try simulating an MA(3) process, then use our ARMA function to fit a third order MA model to the series and see if we can recover the correct lag coefficients (betas). Betas 1-3 are equal to 0.6, 0.4, and 0.2 respectively.
![Simulated ma(3) process with betas = [0.6, 0.4, 0.2]](https://images.squarespace-cdn.com/content/v1/53ac905ee4b003339a856a1d/1478187499426-99GLSWVL6O55PDIAOP15/image-asset.png?format=original)
Simulated ma(3) process with betas = [0.6, 0.4, 0.2]

MA(3) model summary
The model was able to estimate the real coefficients effectively. Our 95% confidence intervals also contain the true parameter values of 0.6, 0.4, and 0.3. Now let's try fitting an MA(3) model to the SPY's log returns. Keep in mind we do not know the true parameter values.

SPY MA(3) model summary
Let's look at the model residuals.

SPY MA(3) model Residuals
Not bad. Some of the ACF lags concern me especially at 5, 16, and 18. It could be sampling error but that combined with the heaviness of the tails makes me think this isn't the best model to predict future SPY returns.
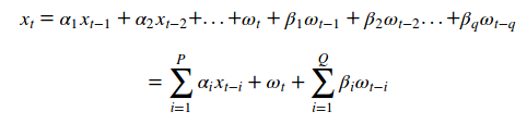
As you may have guessed, the ARMA model is simply the merger between AR(p) and MA(q) models. Let's recap what these models represent to us from a quant finance perspective:
- AR(p) models try to capture (explain) the momentum and mean reversion effects often observed in trading markets.
- MA(q) models try to capture (explain) the shock effects observed in the white noise terms. These shock effects could be thought of as unexpected events affecting the observation process e.g. Surprise earnings, A terrorist attack, etc.
"For a set of products in a grocery store, the number of active coupon campaigns introduced at different times would constitute multiple 'shocks' that affect the prices of the products in question."
AM207: Pavlos Protopapas, Harvard University
ARMA's weakness is that it ignores the volatility clustering effects found in most financial time series.
The model formula is:

arma(p, q) equation
Let's simulate an ARMA(2, 2) process with given parameters, then fit an ARMA(2, 2) model and see if it can correctly estimate those parameters. Set alphas equal to [0.5,-0.25] and betas equal to [0.5,-0.3].

simulated ARma(2, 2) process

ARMA(2, 2) Model summary
The model has correctly recovered our parameters, and our true parameters are contained within the 95% confidence interval.
Next we simulate a ARMA(3, 2) model. After, we cycle through a non trivial number of combinations of p, q to fit an ARMA model to our simulated series. We choose the best combination based on which model produces the lowest Akaike Information Criterion (AIC).
The correct order was recovered above. Below we see the output of our simulated time series before any model fitting.
![Simulated arma(3, 2) series with alphas = [0.5,-0.25,0.4] and betas = [0.5,-0.3]](https://images.squarespace-cdn.com/content/v1/53ac905ee4b003339a856a1d/1478208810441-U09770KQYKD5ZNK6GDTH/image-asset.png?format=original)
Simulated arma(3, 2) series with alphas = [0.5,-0.25,0.4] and betas = [0.5,-0.3]

ARmA(3, 2) BEst model summary
We see that the correct order was selected and the model correctly estimated our parameters. However notice the MA.L1.y coefficent; the true value of 0.5 is almost outside of the 95% confidence interval!
Below we observe the model's residuals. Clearly it is a white noise process, thus the best model has been fit to explain the data.

ARMA(3, 2) best model residual white noise
Next we fit an ARMA model to SPY returns. The plot below is the time series before model fitting.

SPY Returns
We plot the model residuals.

SPY best model residuals arma(4, 4)
The ACF and PACF are showing no significant autocorrelation. The QQ and Probability Plots show the residuals are approximately normal with heavy tails. However, this model's residuals do NOT look like white noise! Look at the highlighted areas of obvious conditional heteroskedasticity (conditional volatility) that the model has not captured.
ARIMA is a natural extension to the class of ARMA models. As previously mentioned many of our TS are not stationary, however they can be made stationary by differencing. We saw an example of this when we took the first difference of a Guassian random walk and proved that it equals white noise. Said another way, we took the nonstationary random walk and transformed it to stationary white noise by first-differencing.
Without diving too deeply into the equation, just know the "d" references the number of times we are differencing the series. A side note, in Python we must use np.diff() function if we need to difference a series more than once. The pandas functions DataFrame.diff()/Series.diff() only takes the first difference of a dataframe/series and does not implement the recursive differencing needed in TSA.
In the following example, we iterate through a non-trivial number of combinations of (p, d, q) orders, to find the best ARIMA model to fit SPY returns. We use the AIC to evaluate each model. The lowest AIC wins.
It should be no surprise that the best model has a differencing of 0. Recall that we already took the first difference of log prices to calculate the stock returns. Below, I plot the model residuals. The result is essentially identical to the ARMA(4, 4) model we fit above. Clearly this ARIMA model has not explained the conditional volatility in the series either!

ARIMA model fit to spy returns
Now we have at least accumulated enough knowledge to make a simple forecast of future returns. Here we make use of our model's forecast() method. As arguments, it takes an integer for the number of time steps to predict, and a decimal for the alpha argument to specify the confidence intervals. The default setting is 95% confidence. For 99% set alpha equal to 0.01.


21-Day spy Return forecast - Arima(4,0,4)
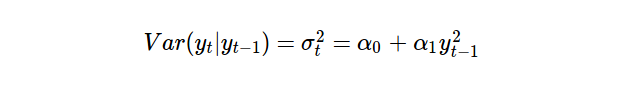
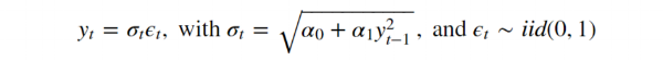
ARCH(p) models can be thought of as simply an AR(p) model applied to the variance of a time series. Another way to think about it, is that the variance of our time series NOW at time t, is conditional on past observations of the variance in previous periods.

arch(1) model formula - penn state
Assuming the series has zero mean we can express the model as:

ARCH(1) model if zero mean

simulated ARCH(1) Process

Simulated arch(1)**2 process
Notice the ACF, and PACF seem to show significance at lag 1 indicating an AR(1) model for the variance may be appropriate.
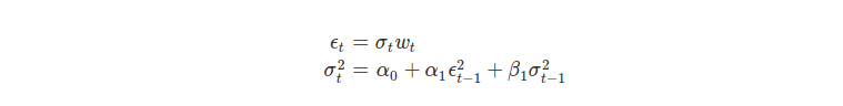
Simply put GARCH(p, q) is an ARMA model applied to the variance of a time series i.e., it has an autoregressive term and a moving average term. The AR(p) models the variance of the residuals (squared errors) or simply our time series squared. The MA(q) portion models the variance of the process. The basic GARCH(1, 1) formula is:

garch(1, 1) formula from quantstart.com
Omega (w) is white noise, and alpha and beta are parameters of the model. Also alpha_1 + beta_1 must be less than 1 or the model is unstable. We can simulate a GARCH(1, 1) process below.

Simulated Garch(1, 1) process
Again, notice that overall this process closely resembles white noise, however take a look when we view the squared eps series.

simulated garch(1, 1) process squared
There is clearly autocorrelation present and the significance of the lags in both the ACF and PACF indicate we need both AR and MA components for our model. Let's see if we can recover our process parameters using a GARCH(1, 1) model. Here we make use of the arch_model function from the ARCH package.

garch model fit summary
Now let's run through an example using SPY returns. The process is as follows:
- Iterate through combinations of ARIMA(p, d, q) models to best fit our time series.
- Pick the GARCH model orders according to the ARIMA model with lowest AIC.
- Fit the GARCH(p, q) model to our time series.
- Examine the model residuals and squared residuals for autocorrelation
Also note that I've chosen a specific time period to better highlight key points. However the results will be different depending on the time period under study.

residuals of arima(3,0,2) model fit to SPY returns
Looks like white noise.

squared RESIDUALS OF ARIMA(3,0,2) MODEL FIT TO SPY RETURNS
Squared residuals show autocorrelation. Let's fit a GARCH model and see how it does.

GARCH(3, 2) model fit to spy returns
Convergence warnings can occur when dealing with very small numbers. Multiplying the numbers by factors of 10 to scale the magnitude can help when necessary, however for this demonstration it isn't necessary. Below are the model residuals.

residuals of garch(3, 2) model fit to SPY returns
Looks like white noise above. Now let's view the ACF and PACF of the squared residuals.


Looks like we have achieved a good model fit as there is no obvious autocorrelation in the squared residuals.
- Quantstart.com - https://www.quantstart.com/articles#time-series-analysis
- Harvard Lectures in Python - http://iacs-courses.seas.harvard.edu/courses/am207/blog/lecture-17.html
- Penn State Stats - https://onlinecourses.science.psu.edu/stat510/node/78
- stationary pic + tsplot - http://www.seanabu.com/2016/03/22/time-series-seasonal-ARIMA-model-in-python/
- stationary quote, etc - http://people.duke.edu/~rnau/411diff.htm
- interpreting qq plots - http://stats.stackexchange.com/questions/101274/how-to-interpret-a-qq-plot
- Kaplan SchweserNotes (Level 2) - Quantitative Methods
Enjoyed this post?
Subscribe for more research and trading insights.
By clicking "Subscribe," you agree to our Terms of Use and acknowledge our Privacy Policy. You can unsubscribe at any time.
No spam. Unsubscribe anytime.